Selected Publications

Full List: [ Google Scholar | ACL Anthology | DBLP ]

* indicates equal contribution

2026

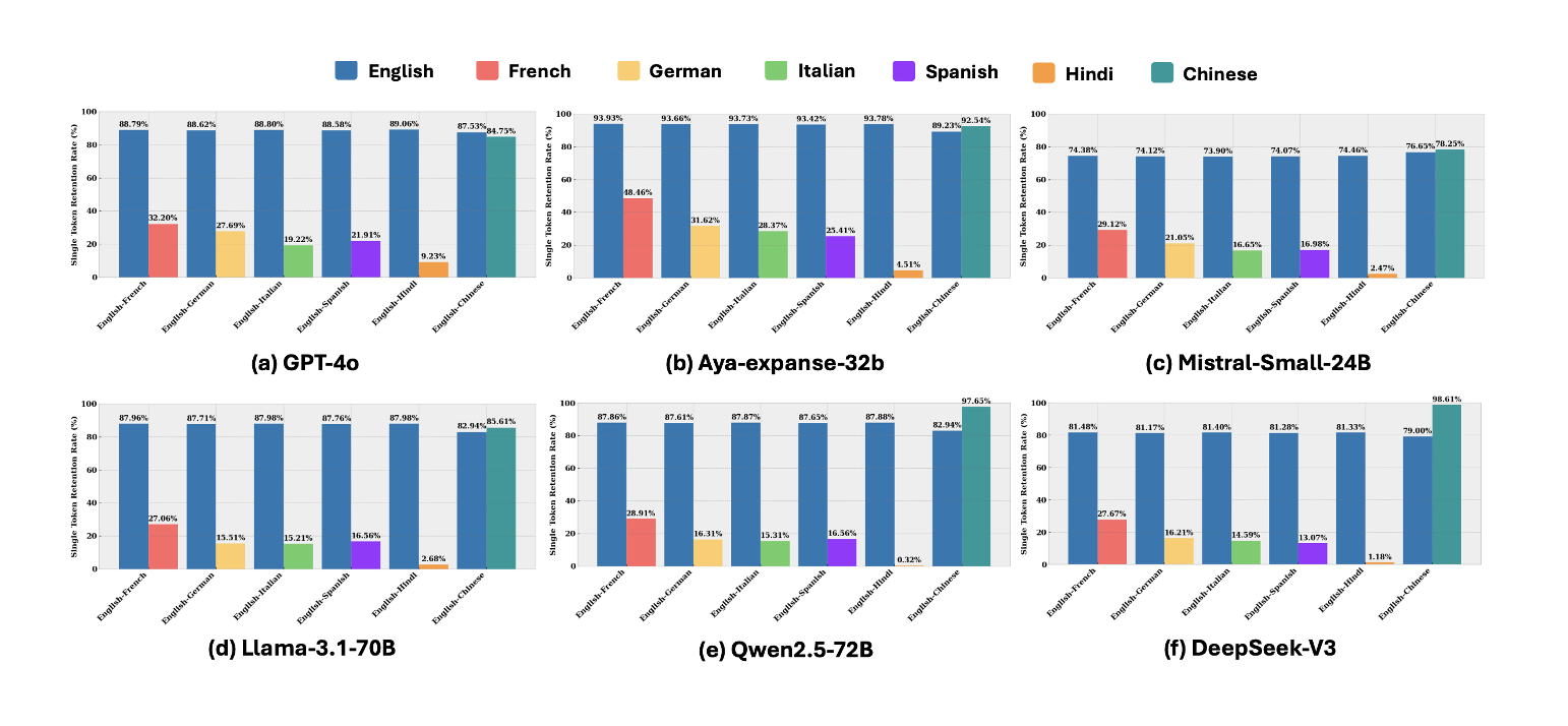
Lost in Translation: Do LVLM Judges Generalize Across Languages? β€” thumbnail ACL 2026

Lost in Translation: Do LVLM Judges Generalize Across Languages?

Accepted for publication at ACL 2026(Findings)
Md Tahmid Rahman Laskar, Mohammed Saidul Islam, Mir Tafseer Nayeem, Amran Bhuiyan, Mizanur Rahman, Shafiq Joty, Enamul Hoque, and Jimmy Huang
Stop Taking Tokenizers for Granted: They Are Core Design Decisions in Large Language Models β€” thumbnail EACL 2026

Stop Taking Tokenizers for Granted: They Are Core Design Decisions in Large Language Models

Published at EACL 2026(Main) Oral
Mir Tafseer Nayeem*, Sawsan Alqahtani*, Md Tahmid Rahman Laskar, Tasnim Mohiuddin, and M Saiful Bari

2025

Beyond Fertility: Analyzing STRR as a Metric for Multilingual Tokenization Evaluation β€” thumbnail
NeurIPS 2025 Workshop

Beyond Fertility: Analyzing STRR as a Metric for Multilingual Tokenization Evaluation

Published at NeurIPS 2025(Workshop)
Mir Tafseer Nayeem*, Sawsan Alqahtani*, Md Tahmid Rahman Laskar, Tasnim Mohiuddin, and M Saiful Bari
SurveyGen thumbnail EMNLP 2025

SurveyGen: Quality-Aware Scientific Survey Generation with Large Language Models

Published at EMNLP 2025(Main) Oral
Tong Bao, Mir Tafseer Nayeem, Davood Rafiei, and Chengzhi Zhang
From Charts to Fair Narratives thumbnail EMNLP 2025

From Charts to Fair Narratives: Uncovering and Mitigating Geo-Economic Biases in Chart-to-Text

Published at EMNLP 2025(Main)
Ridwan Mahbub*, Mohammed Saidul Islam*, Mir Tafseer Nayeem, Md Tahmid Rahman Laskar, Mizanur Rahman, Shafiq Joty, and Enamul Hoque
Chart Judge thumbnail EMNLP 2025

Deploying Tiny LVLM Judges for Real-World Evaluation of Chart Models: Lessons Learned and Best Practices

Published at EMNLP 2025(Industry Track)
Md Tahmid Rahman Laskar, Mohammed Saidul Islam, Ridwan Mahbub, Mizanur Rahman, Amran Bhuiyan, Israt Jahan, Mir Tafseer Nayeem, Shafiq Joty, Enamul Hoque, and Jimmy Huang
The Perils of Chart Deception thumbnail IEEE VIS 2025

The Perils of Chart Deception: How Misleading Visualizations Affect Vision-Language Models

Published at IEEE VIS 2025 Oral
Ridwan Mahbub, Mohammed Saidul Islam, Md Tahmid Rahman Laskar, Mizanur Rahman, Mir Tafseer Nayeem, and Enamul Hoque
Judging the Judges thumbnail ACL 2025

Judging the Judges: Can Large Vision-Language Models Fairly Evaluate Chart Comprehension and Reasoning?

Published at ACL 2025(Industry Track)
Md Tahmid Rahman Laskar, Mohammed Saidul Islam, Ridwan Mahbub, Ahmed Masry, Mizanur Rahman, Amran Bhuiyan, Mir Tafseer Nayeem, Shafiq Joty, Enamul Hoque, and Jimmy Huang
eC-Tab2Text thumbnail NAACL 2025

eC-Tab2Text: Aspect-Based Text Generation from e-Commerce Product Tables

Published at NAACL 2025(Industry Track)
Luis Antonio GutiΓ©rrez Guanilo, Mir Tafseer Nayeem, Cristian LΓ³pez, and Davood Rafiei

2024

Are Large Vision Language Models up to the Challenge of Chart Comprehension and Reasoning? β€” thumbnail EMNLP 2024

Are Large Vision Language Models up to the Challenge of Chart Comprehension and Reasoning

Published at EMNLP 2024(Findings)
Mohammed Saidul Islam, Raian Rahman, Ahmed Masry*, Md Tahmid Rahman Laskar*, Mir Tafseer Nayeem*, and Enamul Hoque
XL-HeadTags: Leveraging Multimodal Retrieval Augmentation β€” thumbnail ACL 2024

XL-HeadTags: Leveraging Multimodal Retrieval Augmentation for the Multilingual Generation of News Headlines and Tags

Published at ACL 2024(Findings)
Mir Tafseer Nayeem*, Faisal Tareque Shohan*, Samsul Islam, Abu Ubaida Akash, and Shafiq Joty
BenLLM-Eval: A Comprehensive Evaluation into the Potentials and Pitfalls of LLMs on Bengali NLP β€” thumbnail COLING 2024

BenLLM-Eval: A Comprehensive Evaluation into the Potentials and Pitfalls of Large Language Models on Bengali NLP

Published at COLING 2024
Mohsinul Kabir*, Mohammed Saidul Islam*, Md Tahmid Rahman Laskar, Mir Tafseer Nayeem, M Saiful Bari, and Enamul Hoque

2023

Product Entity Matching via Tabular Data β€” thumbnail CIKM 2023

Product Entity Matching via Tabular Data

Published at ACM CIKM 2023
Ali Naeimabadi, Mir Tafseer Nayeem, and Davood Rafiei
On the Role of Reviewer Expertise in Temporal Review Helpfulness Prediction β€” thumbnail EACL 2023

On the Role of Reviewer Expertise in Temporal Review Helpfulness Prediction

Published at EACL 2023(Findings)
Mir Tafseer Nayeem and Davood Rafiei
Shironaam: Bengali News Headline Generation using Auxiliary Information β€” thumbnail EACL 2023

Shironaam: Bengali News Headline Generation using Auxiliary Information

Published at EACL 2023(Main)
Mir Tafseer Nayeem*, Abu Ubaida Akash*, Faisal Tareque Shohan, and Tanvir Islam

2021

Simple or Complex? Learning to Predict Readability of Bengali Texts β€” thumbnail AAAI 2021

Simple or Complex? Learning to Predict Readability of Bengali Texts

Published at AAAI 2021(Main)
Mir Tafseer Nayeem*, Susmoy Chakraborty*, and Wasi Uddin Ahmad
Unsupervised Abstractive Summarization of Bengali Text Documents β€” thumbnail EACL 2021

Unsupervised Abstractive Summarization of Bengali Text Documents

Published at EACL 2021(Main)
Mir Tafseer Nayeem*, Radia Rayan Chowdhury*, TT Mim, MSR Chowdhury, and T Jannat

2019

Neural Diverse Abstractive Sentence Compression Generation β€” thumbnail ECIR 2019

Neural Diverse Abstractive Sentence Compression Generation

Published at ECIR 2019
Mir Tafseer Nayeem, Tanvir Ahmed Fuad, and Yllias Chali
Neural Sentence Fusion for Diversity Driven Abstractive Multi-Document Summarization β€” thumbnail CS&L 2019

Neural Sentence Fusion for Diversity Driven Abstractive Multi-Document Summarization

Published in Computer Speech & Language, Elsevier—58 (2019): 216–230
Mir Tafseer Nayeem*, Tanvir Ahmed Fuad*, Asif Mahmud, and Yllias Chali

2018

2017

Towards Abstractive Multi-Document Summarization Using Submodular Function-Based Framework, Sentence Compression and Merging β€” thumbnail IJCNLP 2017
Extract with Order for Coherent Multi-Document Summarization β€” thumbnail
ACL 2017 Workshop

Extract with Order for Coherent Multi-Document Summarization

Published at ACL 2017 (Workshop) Oral
Mir Tafseer Nayeem and Yllias Chali

Back to Top